
物理也是同学们的热门选择科目,同时这也是大家公认的难学科目。物理备考时会涉及到很多知识点的融合,不仅需要理论上的理解,也需要运用到实际操作中。而且它的物理在知识的广度和应用性上远远超过了国内物理课程。下面我们先一起来看看2021年1月A-Level物理U1考情回顾,还在备考的同学可以先了解了解它的考试情况。

考试日期:2021年1月8日
考试时长:1小时30分
1、考查云加速直线运动,题目中提供的信息是初速度u,末速度v和位移s,使用公式2as=v2-u2代入题目中的数据计算可得到正确答案。
2、分析题目中描述的物体的能量变化可知,物体下落的过程中损失了一些重力势能,可以通过公式

物体的速度增加,物体获得了一些动能,可以使用公式图片计算。损失的重力势能一部分变成了动能,另一部分则通过空气阻力做负功消耗掉了,所以对两个能量做差可以得到摩擦力所消耗的能量。
3、观察题目中提供的加速度图像可知,加速度一直为正,所以速度一定是一直增加的,另外加速度随着时间的推移逐渐增大,所以速度的增长是越来越快的,图像D满足要求。
4、小球在空气中进行自由落体运动的时候满足位移

题目要求画图并且图像的斜率正好是重力加速度g,所以应该画2s与t2之间的关系。
5、对于同一种材料制成的不同物体来讲,断裂应力,密度和杨氏模量都不变,因为他们只与材料本身相关。而stiffness则会受到物体形状的影响,所以会因为形状的不同而改变。
6、向左的10Ns,所以经过求和可知物体A,B的动量之和是向左的4Ns。
7、在利用小球自由沉降测量液体粘性的实验当中,我们需要测量的是小球匀速下落过程中的速度,小球在释放以后需要先进行一段加速运动,所以个标记物不能在液面之上或者靠近液面,故选择X作为个标记点。
8、动量是矢量,密度,动能和粘性都是标量。
9、牛顿第三定律所描述的作用力和反作用力是作用在不同物体上的,所以B选项说两个力作用于同一物体上是错误的。
10、根据公式P=Fv可知,速度可以通过功率除以驱动力来获得,在匀速运动的过程中,驱动力应该跟阻力相等。再利用时间等于位移除以速度即可得到计算时间的表达式。
11、Question11
(a)对于杆来讲,受到两个人给的向下的压力,支点给的向上的支持力和自身的重力,题目中说杆是匀质的,所以杆的重心应该位于杆的中点。
(b)平衡系统要求合外力和合力矩均为0。对于平衡系统,支点的选取理论上可以是任意点,但是为了方便计算,选取支撑点作为支点,则右边人对于杆的压力,杆自身的重力提供顺时针的力矩,左边人对于杆的压力提供逆时针的力矩。两个方向上的力矩大小应该相等:列出等式0.9x950=650x +(2-0.9) x 250,求解x即可。
12、Question12
(a)根据公式P=Fv计算功率,需要注意的是在扶梯匀速上升的过程中,只有扶梯给人的垂直向上的支持力做功,而支持力等于重力,所以可以通过F=mg来进行计算。速度需要分解得到垂直分量,所以最终的计算公式为P=mgv sin30=180W。
(b)由于同时有15个人站在扶梯上,运送他们的有用功率为15P=2.7kW,另外,由于扶梯的效率是78%,则总功率为2.7/0.78=3.5kW。
13、Question13
(a)研究抛物运动的时候需要将它分解成水平方向和垂直方向来分别进行研究。垂直方向是一个匀加速直线运动,题目告诉我们整个抛物运动能够到达点的高度是5m,此时垂直速度为0,通过公式2s=v2-u2,代入重力加速度g = 9.81可以计算得到垂直初速度u=9.9,再利用三角函数的法则,原始初速度的大小为u/sin35=17.3m/s。
(b)到达球门的时候球走过的水平位移是22.0m,由于抛物运动中的水平方向运动是一个匀速运动,通过公式可计算运动的时间

将时间,垂直初速度和重力加速度代入带描述垂直运动的匀加速直线运动公式

中计算垂直位移,可得

与题目中给出的球门高度3.00m比较可知高于球门高度,故该次射门得分。
14、Question14
(a) (i)将每一秒钟水泵射出的水想像成圆柱体,其底面积为A=πr2=7.85x10-3m2,根据公式m=ρV可以计算出圆柱体的体积V=0.291m3,那么圆柱体的高度则可以通过h=V/A计算,而圆柱体的高度则代表了水一秒钟能够走过的距离,也就是速度,最后可以算得v=37.1m/s。
(ii)首先需要明确的是动量的变化率

其实是力,对于这一道问题来讲,我们可以计算一秒钟之内的动量变化量再除以1秒的时间,即

(b)根据牛顿第三定律,力和其反作用力等大且反向,所以如果水被水泵施加了向前的力,那么水泵就会受到水的向后的力。
(c)无论是水泵打开前还是水泵打开后船的运动都是匀速状态,根据牛顿定律,船在水平方向上受到的合外力都是0。船的发动机能够提供的驱动力是一个定值,在没有打开水泵的时候,发动机的驱动力和水的阻力是相等的,此时水的阻力较大,说明船航行的速度较快;当打开水泵之后,发动机的驱动力等于水的阻力和水泵受到的反作用力之和,此时水的阻力较小,说明船航行的速度较慢。
15、Question15
在阶段1(Stage 1)中,重力做正功,重力势能减小,动能增加。如果不考虑空气阻力,那么重力势能的减小量与动能的增加量相等,机械能在这一阶段守恒。
在阶段2(Stage 2)中,绳子上会出现拉力,拉力做负功,重力继续做正功。由于在这一阶段依然有向下的加速度,绳子上的拉力是比重力小的,所以重力势能一部分变成了弹性势能,一部分成为动能。
在阶段3(Stage 3)中,绳子上的拉力开始大于重力,拉力做的负功大于重力做的负功,此时重力势能和动能一起减少,成为绳子上的弹性势能。
16、Question16
(a)5.05mm的测量值说明分辨率(Resolution)是0.01mm,测量仪器是螺旋测微仪(Micrometer)。
(b)(i)从应力-应变图像中提取杨氏模量的时候应该使用线性区域来计算斜率,另外需要注意坐标轴上的系数或者单位。对于这一道问题来讲,可以使用坐标原点(0,0)和(0.005, 600MPa),则杨氏模量为

(ii)观察可知B点对应的应力值大约为1280MPa,计算横截面积A=πr2=2.00x10-5m2,根据应力的计算公式

代入数据即可得到此时的受力。
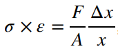
(iii)当研究图像面积所代表的含义时,由于面积的计算公式是∫ydx,图像的面积可以理解为横纵坐标轴相乘所表示的物理量,对于这一道问题来讲,应力与应变的乘积可以计算为

其中FΔx是做功,而Ax则代表了材料的体积,所以应力乘应变就代表了单位体积的做功多少。
(iv)首先利用数格子的方法确定图像和坐标轴围出的面积,具体来讲,可以使用画梯形或者三角形近似的方法来得到面积。另外,需要注意坐标轴上的单位,如果直接用MPa的读数,那么面积的单位会变成MJ/m3。再利用V=πr2h计算材料的体积,最后利用面积乘以体积就可以得到拉断该合金线所需要做的功。
17、Question17
(a)弹簧满足胡克定律F=Δx,则k可以通过

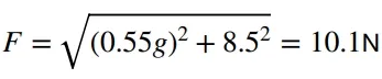
(b)对于物体来讲,一共受三个力,又因为物体处于平衡状态(Equilibrium),合外力为0,所以此时的F可以通过

此时弹簧的伸长量则为10.1/1.875=5.39cm。而夹角则为

18、Question18
(a)由于小球完全浸没之后受到的浮力比重力大,所以小球在释放之后会上升。对于在液体中进行上升的小球来讲,除了受到浮力之外还受到重力和粘滞阻力(viscous drag)的作用。其中重力垂直向下,而阻力与速度的方向相反,所以阻力向下。
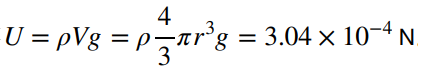
(b)利用浮力的公式可以计算

(c)(i)Stokes’s law只有当小球周围的流体是laminar flow的时候才适用,所以小球运动的速度必须比较慢。
(ii)假设Stoke’s law合适,则可以重力等于浮力加阻力的公式进行自由沉降速度的计算

可以解出此时的⾃由沉降速度为0.157m/s。根据题目中的信息

通过比较可知,0.157m/s的速度大于了能够允许的速度,所以Stokes law应该不适用。
以上就是小编为大家带来的2021年1月A-Level物理U1考情回顾,更多考情回顾及备考经验分享,欢迎继续关注新航道成都学校。






