
Alevel物理·如何理解老师课堂上常说的“理解其物理意义”
众所周知,科学是没有国界的。A-Level物理虽然是源于英国的标准化考试,但从纯粹的理论知识的角度来看,其所教授的内容与我国高考物理所囊括的内容并无太大出入。不独是物理,理科类的学科大抵如此。
有人说数学很抽象,像是“飘在天上的一门学科”;而物理学习的都是我们生活中会出现的各种现象,是一门“贴在地平线上的学科”。然而,就是这样一门看似接地气的学科,却被广大中外学生吐槽为高中理科最难的学科,可谓是天下苦物理久矣!但若要你说清楚物理究竟难在哪里,却又好似如鲠在喉、如坐针毡、如芒在背,最后只能扼腕长叹一句:物理物理,云里雾里。本文试图从上帝视角,跟大家分享一下高中物理究竟难在哪里,而我们对物理学习的最 大误区又是什么?
相信大家在学习物理的过程中都有过这样的经历——上课“一听就会”,习题“一做就醉”。这,到底是为什么??是人性的扭曲?!还是道德的沦丧?!
为了回答这个问题,我们先抛出结论:高中物理最 大的难点在于,基础知识体系本身追求的是建立在初等数学基础上的逻辑自洽,导致从课本知识到实际解题之间存在比较大的鸿沟。
举几个例子:
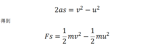
课本上推导动能定理是恒力做功下物体做匀加速直线运动推导出来的,即已知

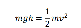
然后告诉你动能是标量,所以动能定理也适用于曲线运动(为什么?),然后因为重力做功与路径无关(为什么?),所以物体从一个光滑曲面高度为h处初速度为零滑下来的速度可以这样算:

从课本上的动能定理到如此常见的一个解题模型,逻辑链条就有两个断裂的地方。
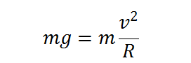
再比如,课本上告诉你,做匀速圆周运动的物体,向心加速度的大小
然后常见的问题:一个绳拉一个小球,能摆到最 高点需要满足什么样的条件?
答案是最 高点要满足

但同学们遇到的此类题目中的背景设置往往是非匀速圆周运动,比如经典的“过山车模型”。那么问题就来了,为什么不是匀速圆周运动也可以这么算呢?
你会发现,从课本知识到解题,中间是有一个推广的过程的,而这些背后的原理,是有一些朴素的微积分思想的。很多同学痛苦的地方是,课本上明明只说了A,但是实际解题需要的是推论BCD。好吧,虽然我不知道BCD是咋来的但是我接受这些都是对的,我自己想个推论E看起来好像也很有道理,但是一做就是错的。有些幸运儿即使自己做题搞懂了,也常有一种难以言说的感觉。
高中物理知识其实并不是一个体系,而是体系上的碎片,而且是经过高度理想化之后得到的。虽然这些碎片比化学、生物看起来更完整,但是只记住一些碎片是没用的,必须把这些碎片串起来,而难点就是把这些碎片串起来。
要把这些碎片串联起来,就不得不提物理学研究过程中始终存在着的两种重要的主导思想,还原论思想和衍生论或称唯象论思想。还原论的思想是,如果要认清一种物质就要将它还原到分子、原子、电子、原子核,探究其本质,研究构成它的基本单元是什么,它们服从怎样的基本物理规律,物理学家们认为掌握了最根本的结构与规律就可以顺利的解释由基本单元组成的物质的结构与规律。在一定程度上还原论帮助我们认识了物质世界的基本组成及基本规律,但随着研究对象的复杂化,还原论也逐渐失效。就好像高中生都清楚,牛顿力学理论上讲可以计算任何宏观物体的刚性机械运动,但在研究实际问题的过程中,牛顿力学连三体问题的计算都力不从心。因此就需要唯象论来弥补还原论的这一不足。唯象论是基于现象的理论,也可以说是物理现象的总结与提炼。比如开普勒三定律便是典型的唯象论。其实支配天体运动的基本规律是万有引力定律,但开普勒并没有用万有引力定律去计算天体的轨迹,而是通过观察天体运动的现象总结提炼出了开普勒三定律。因为唯象论是基于现象的理论,所以它不具备解释现象内部机理的能力,但仍然是有效的理论,并且具有可扩展性。对于更大更复杂的系统开普勒三定律依旧是适用的。
很多人对物理有很大的误解,一个最经典的误解就是觉得物理难是因为它需要很高深的数学,不可否认物理需要比较好的数学工具,但物理绝不等同于数学。我始终觉得物理最重要的是要建立起准确的动态的物理图像,要清晰的刻画物理规律的细节,而不是一大堆草稿纸的演算,这大概就是物理老师们一直强调的“理解其物理意义”吧,当你真正理解了物理图像的时候,数学不过仅仅是工具罢了。
最后,希望这篇文章能够帮你打开一扇新的物理学习之门,解答一直盘踞在你心中关于物理学习的究极困惑。
预约A-Level辅导试听名额
唯有努力,不负时光,锦秋时光,相伴同行
新航道锦秋A-Level
湖北省A-level招生培训基地
新航道-用心用情用力做教育!







