
距离2022年5月艾德思大考越来越近了,准备参考的同学们新课都上完了吗?相对于U1只有运动学和材料学两个板块并且板块内知识点难度也是循序渐进地提升,备考起来相对容易。U2有波的性质,量子物理和电学三大板块,知识点比较分散,相互地粘结性似乎也不是很强。同学们备考U2的时候会不会出现无从下手的情况呢?我们今天就一起来以近两年来四次大考的U2大题为例,梳理一下U2考试中哪些考点知识点出现地最频繁,分数占比最多,从而帮助大家在备考时更有针对性。同时我也会针对某些重要考点给大家一些备考的建议。
四次考试中考试频率最高分数也是最多的是光的折射这类题目。分别出现在2022年1月16题b问(8分),2021年10月11题(9分),2021年5月13题(9分),2021年1月15题(5分)。折射的考点主要分为三类,包括告知折射率或者光速来计算角度,全反射的计算和解释,以及折射图象。
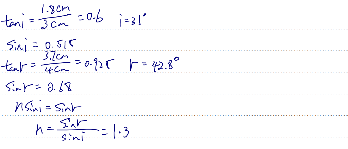
我们以2021年1月15题为例来看看这类题型的解法

第一小问是一道简单的定义题,同学们只需要把平时背熟的折射定义写出来就行。


第二问是一道典型的通过入射角和折射角的计算,并理解空气中的折射率等于1,运用折射率角度公式来进行计算就可以了。

同样每次考试都出现的考点还有“解释光的粒子属性”。2022年1月考试的第13题(6分),2021年10月考试的14题a问(2分),2021年5月15题b问(6分),2021年1月17题b问(4分)。这类题目考察的模型较多,但是内核上面都是需要同学们描述出光子的能量跟频率成正相关,光子碰到电子后会传递所有能量等一系列实验观察的现象,同学们务必要把这个知识点背熟。
我们同样以2021.1月一道小题为例。

这道题只要注意在答题中写出光的frequency和intensity 对于photon能量的关系,并且说出photon的能量跟electrons能量的成正比就能拿到所有分数了。

其他重要考点的出处我也在下文根据考频和分数一一列出,供同学们参考:
Photoelectric effect equation and photo energy 2021.10.14.b.c(7) 2021.10.18.b(3) 2021.5.15.a(4) 2021.1.17.a(5) 2021.1.20.b(3)
Resistivity 2022.1.11.a(2) 2021.10.13.a(4) 2021.5.11.a(1) 2021.5.18.a(3) 2021.1.19.a.b(6)
Resistance and graph 2021.5.14(8) 2021.5.18.c(3) 2021.1.13(4) 2021.1.16(6)
Electric power 2021.10.13.b(3) 2021.5.12.c(2) 2021.5.18.b(4) 2021.1.19.c(3)
Stationary wave 2022.1.15(8) 2021.10.12(7) 2021.1.21(9)
Polarization 2022.1.16.c(2) 2021.5.16(9) 2021.1.18.a(2)
Drift velocity 2022.1.b.c(6) 2021.5.11.b(4) 2021.1.11(2)
Echo distance calculation 2022.12.a(4) 2021.10.18.c(4)
Wavelength and resolution 2022.12.b(3) 2021.10.18.c(1)
Diffraction calculation 2022.1.14.a(4) 2021.1.18.b(7)
Explain superposition and interference 2022.1.14.b(3) 2021.1.12(4)
Electric circle series and parallel 2022.1.17.a(6) 2021.15(8)
Intensity of radiation 2022.1.18.b(4) 2021.1.20.a(3)
Internal resistance 2021.10.17(11) 2021.5.12.a.b(6)
Speed of sound experiment 2021.5.17(8)
Current and charge 2021.5.18.c(3)
Transverse and longitudinal wave 2022.1.16.a(2)
Electric circle potential divider 2022.1.17.b(4)
同学们在这次大考的备考中可以参照这些考点的考频,有方向地进行备考,把更多的时间和精力放在考频最高,分数最多的考点上,祝大家考试顺利。






