
想要出国留学并打算参加明年雅思考试的同学,抓紧抢考位了!今天BC发布了2024年雅思纸笔考考试日历及1~6月的机考考试安排!
19个雅思纸笔考试日期全部设在周六。还有158个机考日期任同学挑选。考鸭们再也不用纠结找不到合适时间了!快来一起看看吧!

2024年全年雅思考试日期


2024年用于英国签证及移民的
雅思纸笔考试日期


成绩查询:
*考生可于成绩单寄送日的中午12:00之后上网查询成绩。
*考生可于口试预定开始日的凌晨00:00之后上网预定口试区间。
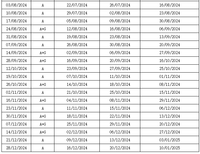
2024年1-6月
雅思机考考试日期

*由于篇幅原因,剩余考试日期大家可以去官网查看:https://news.neea.cn/IELTS/zh_CN/071C9C0A15042340E0630846C80AE234.html
2024年1-6月用于英国签证及移民的
雅思机考考试日期

*由于篇幅原因,其余考试日期大家可以去官网查看:
https://news.neea.cn/IELTS/zh_CN/071C9C0A15032340E0630846C80AE234.html
成绩查询:
*机考成绩一般在考后3日可以查询(遇到法定节假日可能会有所后延,具体请看报名网站的公布)
费用明细
- 雅思考试费:2170元
- 用于英国签证及移民的雅思考试费:2220元
- 雅思生活技能类考试费:1250元
- 转考费:420元
- 雅思成绩复议费:1400元
- 雅思生活技能类考试成绩复议费:1000元
以上就是2024年雅思考试时间安排,希望同学们大家新的一年都能和雅思顺利分手!






