
在众多A-level考试中,关于数学要充分利用平时时间进行练习,但国内微积分一般在大学才会涉及部分,导致一部分同学在学习时没有基础。今天杭州新航道A-level小编就给大家介绍六大积分技巧和五大学习法。

一、六大积分技巧
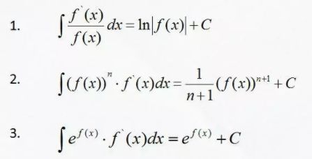
1.熟练的积分Standard function

这里的Standard function指的就是我们在微积分学习中需要掌握的不做任何变形标准函数,比如幂函数,指对数函数,三角函数等。这部分只要同学们在微分学习时没有问题就足以应付,完全是微分过程的逆运算。
2.积分标准函数的线性形式

当积分函数的变量由x变成它的线性形式ax+b时,它的积分形式就只需将答案除以a就可以,这时也要保证积分前后表达式的一致性。
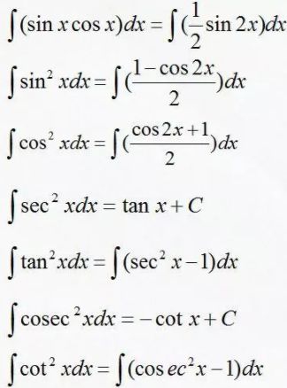
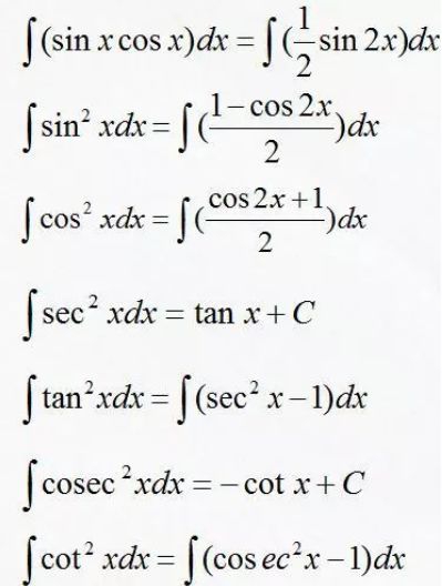
3.先通过三角函数恒等式处理积分表达式

先通过三角函数恒等式处理积分表达式,使之简化,进而利用已知方法求解。同样的,当积分表达式中含有Improper fraction时,我们就需要利用以下方法化简表达式:Improper fraction → proper fraction →partial fraction
4. Improper fraction

同样的,当积分表达式中含有Improper fraction时,我们就需要利用以下方法化简表达式:Improper fraction → proper fraction →partial fraction
5.换元法进行积分

当积分表达式中含有根式,分式等形式时,可以利用换元法进行积分,试题中一般会指定表达式中的某一部分作为替换的部分。在利用换元法做定积分题目时一定要注意更改相应的定积分上下限。
6.分部积分
当我们遇到两部分函数相乘的形式作为被积函数,可以考虑使用分部积分的方法。注意选择合适的部分作为公式的u,另一部分为dv/dx。换元法和分部积分法在考试中都有可能会用两次,同学们需要多加注意。
二、五大学习法
1.直观理解数学概念
花点时间真正理解方程和图表到底怎么变化的,很有必要,而不是死记硬背这道题的完整解题步骤。记步骤虽然也有用,但是如果试题稍微绕点弯,你就会感到很困惑、很有挫败感。
如果你用足够的时间来理解知识点,那么在未知情况下,尤其是分值较高的题,运用这些知识会更得心应手,也能让你对数学学习更感兴趣。
2.制作便签,贴到房间各处
复习过的topics是很容易遗忘的,所以每完成一个topic的复习,你就制作一个便签,写上所有你需要知道的关键信息,贴到你最容易看到的地方。
根据自身学习情况,量身打造适合自己的便签内容,比如说你经常在某一科的某一topic上失误,那么就特意标记出来,加上注解,时刻提醒自己尽量做对。
3.设定计划
是一年里,逐一学习各个不同概念,而不是最后几天复习时间,填鸭式突击学习。A-level数学是一个很难的科目,每一个概念需要在你的脑海中反复思考,然后你才能自如运用。
当你经过了一段扎实和稳定的学习和练习后,复习是最效果的,否则,数学给人的感觉会是很恐怖,让人很困惑,其实原本没这么复杂。
4.朋友合作
给别人讲题,能很快发现知识盲点是哪里,哪些地方还没理解透彻。跟朋友一起坐下来做一套真题,大家都要大声讲出自己的推理过程,有时候检验你对知识理解程度的办法就是试着给别人讲。
5.从最基础的概念和词汇开始
A-level数学有很强的连续性,环环相扣,基础概念是更有难度的概念的基石,比如说解方程、图表、微积分、三角函数,一定要充分理解。如果你不喜欢这些东西,那新知识的学习就会相当吃力。
以上就是今天为大家奉上的六大积分技巧和五大学习法,当然,数学的学习需要稳扎稳打,更需要系统的学习,如何让A-Level更容易学,更容易拿到A*,请大家咨询我们的在线老师.






