
选择了A-Level数学的学生除了核心数学是必修的基础数学之外,学生还要根据自己将来大学报读的专业选择其中一门数学,力学数学、统计数学或决策数学而选择哪个A-Level数学,则要和你将来打算报读的专业联系起来,比如将来读工程类的A-Level考生可选力学数学,读社会科学或者是经济金融类,可选统计数学读计算机软件类的A-Level考生,可选决策数学下面我们一起跟着锦秋数学组老师,回顾下刚刚结束的爱德思考试局2021年1月考试季,锦秋师资带你梳理A-Level数学D1考点!!
A-Level数学D1 2021年1月考情分析
考试日期:2021年1月20日
考试时长:1小时30分
01、Question1
按照Binary search的固定流程完成即可。
02、Question2
先写出目标函数objective: minimise costs = 2x + 3y再写出约束constraints:
x+y≥85
y≥2x
y≤0.8(x+y),化简为y≤4x
03、Question3
(a)按照first-fit的固定流程完成打包即可。
(b)按照bubble sort的固定流程进行,注意题目只要求完成前两次的pass。由于题目要求统计每一次pass中的交换次数,所以在推进算法的时候注意记录。而对于比较的次数来讲,次pass中的比较次数是数组中元素的个数减1,第二次的时候比较次数是元素个数减2。
(c)按照排序的固定流程完成排序即可。
(d)使用first-fit decreasing的固定流程完成新的有序数组的打包。
04、Question4
(a)在classical的问题当中,要求是在每一个node只能访问一次的前提下完成所有的node的访问并返回起始点。而在practical的问题中则并没有要求每一个node只能访问一次。
(b)按照nearest neighbour算法,从A点开始按照固定流程进行,需要注意的是当整个table中所有的node都被访问之后我们需要返回起始点。
(c)对于upper bound来讲,越低越好,所以比较上一问的答案和这一问提出的203,谁更小则是一个更的upper bound。
(d)删除所有与G点相邻的边,从A点出发找出最小生成树,之后选取与G点相连的最短的两条边再链接回去即可构成一个lower bound。
(e)对于lower bound来讲,越大越好,所以比较上一问的答案和这一问给出的188,观察哪一个更小即可。
(f)Optimal route的范围就是从的lower bound到最小的upper bound。
05、Question5
(a)按照Dijkstra算法的固定流填写表格即可得到答案。
(b)先寻找从A到F的最短路径,再寻找从A到K的最短路径,将两个最短路径拼接在一起即可。
(c)题目要求从A出发到J结束,意味着不同的出发点和起点,也就是说A和J作为不同的出发点和起点必须被变成奇数点,而图像中的其余点必须都是偶数点。观察图像可知图像现在有两个奇数点E和C,所以需要被改变奇偶性的点是A,J,E,C。列出3种组合AJ+EC,AE+JC,AC+JE看哪一个最小即可。
(d)在边被重复的前提下,找出F的degree,再除以2就是需要通过F的次数。
(e)从D点出发直接回到D点则只需要重复CE之间的最短路径。
(f)将e问和c问的答案进行比较即可。
06、Question6
(a)按照要求完成dependence network即可。
(b)进行forward pass和backward pass完成event times。
(c)观察完全由critical activities构成的,从起点走到终点的路径即可找到critical path。
(d)计算最小工人数量,首先求和所有的任务需要的时间,再除以critical path的长度,最后对答案进行向上取整即可。
(e)按照固定流程完成排班问题。
07、Question7
(a)通过选取特殊点观察可知,约束为
2x+y≥8
5y≥x+k
x+y≤8
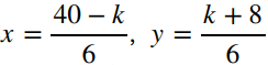
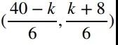
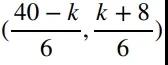
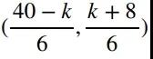
(b)解发生在(0,8)或者是5y=x+k和x+y=8直线的交点上,首先求出交点的坐标,联立方程可得

假设(0,8)为解,则P=38=0+8k,此时k值为4.75。而如果

是解,那么可以解得k值为4或者-7,题目中说明了k为正数,则k值为4。
下一步我们需要判定一下这两个点到底谁是解,将

代入目标函数,让它大于(0,8)代入的值,得到不等式

得到k的范围是k小于40或者k大于5。综合以上信息可知,两个k的值4.75或者4都是小于5的,此时

为解,也就是说这个问题只有一个k的答案,即k=5。






