
这堂课我们继续从实践中感受积分的魅力。
案例一:
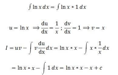
∫㏑xdx,这是一个分部积分的经典案例,第 一眼看到这个题目,大部分同学应该都不会想到分部积分,因为我们都知道uv法更多时候适用于包含两种不同函数的情况,但㏑x很明显是单一函数。那么我们就来创造第二种类型的函数:

那么很简单的,看似毫无头绪的题目,也有了很容易的解法。
案例二:
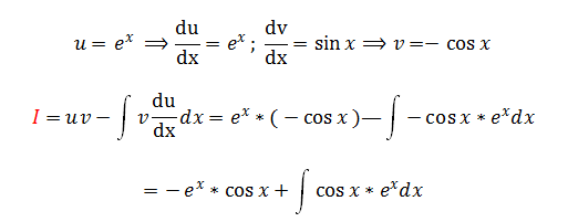
∫ex*sinxdx,首先应用我们的优先级原理,ex是“指”,sinx是“三”,所以:

再次运用uv法:

这种情况下我们需要应用两次分部积分,第二次积分后得到的等式中包含有最初的积分函数I,所以我们将两边同时改写成包含I的方程,最后得到积分结果。
这种情况我们称之为积分的循环,进行了两次积分之后,回到原来的积分从而得出解。
那么就有同学要问了,老师有可能会有进行更多次的分部积分吗?答案是肯定的。
例如:∫x³*exdx,利用优先级,ex是“指”,x³是“幂”,所以u=x³。
那么这道题呢就需要进行三次分部积分从而得出解。






