
今天来一起讨论S2中的f(x)和F(x)。首先,我们先来看一下它们的定义解释。
小f(x)是probability density function,概率密度函数,简称PDF,用来描述continuous random variables(连续性随机变量)的输出值,在某个确定的取值点附近的概率大小的函数。大F(x)是cumulative distribution function,累积分布函数,简称CDF,用来描述连续性随机变量的概率分布。
了解完定义后,接着我们来看一幅概率分布图。

图中黑色线条f(x)就是我们的CDF,该方程与x轴围成的面积代表着概率。
图中蓝色的部分就是F(x),代表着变量x在不同值的时候概率的变化。
根据图片,我们来讨论一下什么样的方程才可以成为PDF?
因为PDF代表着概率分布,所以一定要大于

又因为概率永远在0(0%,完全不可能发生)到1(100%,一定会发生)之间,所以总概率为

同时满足这两个条件,则方程可以作为PDF。
结合我们S1学习的
对于一个方程求与x轴之前的面积,就是对于f(x)进行积分。所以

简单的概括就是F是f的积分,f是F的微分(求导)。

看完f和F的关系,下一步就是如何具体实现两者之间的转换。
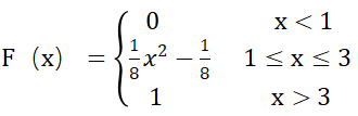
一个标准的PDF至少是二段函数,如

下面半段是指在其他的非变量取值区间,概率都是0。
积分转化方法有两种:定积分法、不定积分法
不定积分法
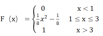
Step1直接对f(x)进行积分
Step2 代值求C,可带入下限f(1)=0或者上限f(3)=1,求出
Step3完成
PS:注意格式,F(x)一定比f(x)多一行。
定积分法
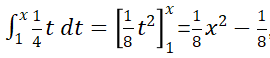
(注意定积分需要带入上下限,而我们需要通过定积分得到一个方程,所以把上限设为x)
Step1对f(x)进行积分,为避免与上限的x重复,我们把方程的未知数变为t
Step2
这样就可以直接得到方程
Step3完成格式
那么,这就是我们关于二段PDF和三段CDF的转化的全部内容啦!






