
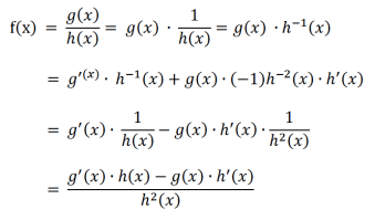
和乘法法则类似,微分除法法则适用于求由两个或几个函数的商函数的导数,也就是对函数f(x)=g(x)/h(x)进行求导,或者表达为对y=u/v进行求导,其中u和v都是关于x的函数。
关于这类函数的求导,我们可以利用之前学习过的链式法则和乘法法则进行推导:

Step1:将函数改写成便于求导的指数形式;
Step2:利用Product Rule和Chain Rule对函数进行求导;
Step3:整理函数,写成分数的形式;
Step4:通分,将分母统一化成h²(x),得到最终结果。
总结:微分除法法则如下,可以写成两种形式:

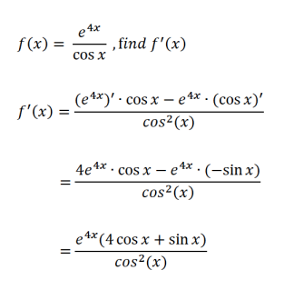
记忆的方法也和之前Product Rule类似,我们可以编个小口诀,“上导下不导,减去,下导上不导,整体除以下面函数的平方”。再结合之前的学习,无论这个分式方程的分子和分母是由多少个函数组成,我们都可以对式子进行求导。
牛刀小试
Question 1:

学会微分除法法则,分式求导是不是so easy,那么,下面我们稍稍提升点难度!
Question 2:

结合了微分法则三巨头的题目还是有点难度吧,但只要掌握公式和方法,逐层运算,就可以轻松击破。
最后,在P3的考试中我们见到的函数求导基本都会是将多重法则(Chain Rule,Product Rule,Quotient Rule)的综合运用,大家一定要熟练掌握。






