
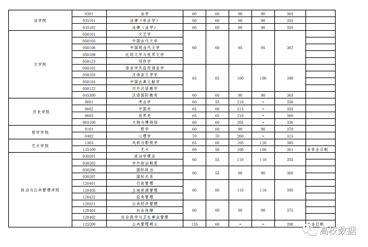
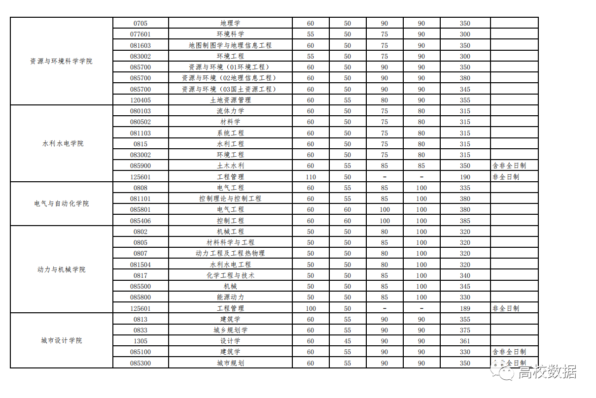
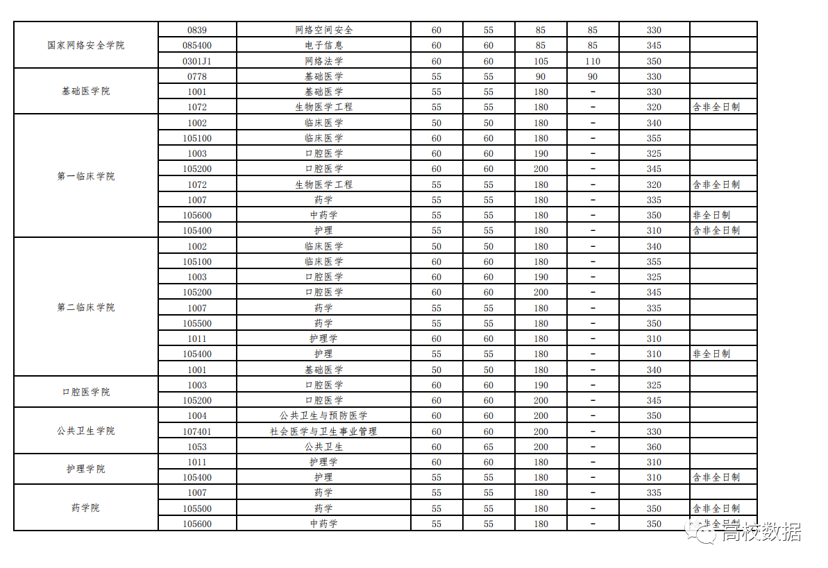
以下是最近更新的武汉大学、华中科技大学、南京大学、中国人民大学、东南大学、复旦大学、北京航空航天大学、电子科技大学等8所院校复试分数线,至此34所自划线院校复试分数线都已公布:
武汉大学








华中科技大学


南京大学

中国人民大学

东南大学

复旦大学





北京航空航天大学

电子科技大学

以下是最近更新的武汉大学、华中科技大学、南京大学、中国人民大学、东南大学、复旦大学、北京航空航天大学、电子科技大学等8所院校复试分数线,至此34所自划线院校复试分数线都已公布:
武汉大学
华中科技大学
南京大学
中国人民大学
东南大学
复旦大学
北京航空航天大学
电子科技大学