
A-Level物理考试是分单元进行的,所以同学们在备考时可以专门针对各单元复习,以此来提升复习效率和效果。昨天已经为大家分享了爱德思考试局2021年1月份的物理U1的考情,今天新航道成都学校继续来和大家分享U2部分的考情回顾。

考试日期:2021年1月13日
考试时长:1小时30分
1、通过做功的公式W=Fs可知,焦耳展开成基本单位的形式应该是kg m2s-2。所以B为正确选项。
2、电阻Y和Z是并联关系,所以总电阻为YZ/(Y+Z)整个并联部分和X电阻是串联关系,所以总电阻是X+YZ/(Y+Z)
3、超声波的分辨率会受到脉冲长度或者波长的影响,脉冲长度越短或者波长越短都会使得超声波的分辨率提高。
4、电磁辐射可以被解释成波或者是粒子,光电效应展现的是电磁辐射的粒子特性。
5、对于测量内阻的实验来讲,可以使用公式ε=Ir+V来描述其特性,也就是说当我们画电压-电流图像的时候,其关系为V=-rI+ε,其面积∫VdI没有意义;斜率应该是负的内阻;由于图像不过原点,V和I之间并非直接线性相关;图像和y轴的截距则为电源电动势,所以D是正确选项。
6、变值电阻和内阻之间是串联的关系,所以电流可以通过电动势除以总电阻来获得I=ɛ/(R+r)
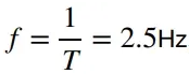
7、从波的位移-时间图上能够提取的信息是振幅和周期,对于这一张图像来讲,振幅为10cm,周期是0.4s,根据公式可知频率

所以选项B正确。波长的信息则无法从这张图像上获得。
8、根据全反射发生的条件可知,如果入射角大于临界角则会发生全反射,所以选项D正确。
9、质量会影响动量,继而影响德布罗意波长,选项A错误;光子虽然没有质量但是有动量,光子的动量可以使用题目中的公式进行计算,选项B正确;p表示动量,但是电子不可能到达光速,所以选项C错误;h是普朗克常数,是不会变化的,所以选项D错误。
10、根据电流的定义公式I=Q/t计算30s内通过的总电荷数再除以时间即可得到电流,每一个电子携带的电荷量是1.6x10-19C。电流为

11、根据Transport Equation可知,电流I=nAvq,其中横截面积A可以通过πr2来进行计算,代入题目中提供的信息就可以计算得到电子的drift velocity。
12、图像中的实线代表波峰的集合,对于A点来讲,从S1和S2发射出来的波都位于两个波峰之间,也就是都位于波谷位置,说明两束波的相位相同,发生相长干涉(Constructive interference);而对于B点来讲,其位置在S2发射出来的波的波峰位置,在S1发射出来的波的波谷位置,所以在B点相遇的两束波相位相反,会发生相消干涉(Destructive interference)。
13、Question13
(a)根据分压原理,在串联电路中的电压之比等于电阻之比,所以5k/R=1.19/(1.5-1.19)可以解得光敏电阻(LDR)的阻值为R=1303Ω。
(b)如果LDR的阻值变为了9Ω,根据分压原理,此时5kΩ定值电阻上面的分压为1.497Ω,由于电压表的分辨率是0.01Ω,而理论电压值如果近似到0.01Ω则会变成1.50Ω,说明没有办法分辨0.003Ω的电阻之差,故而9Ω的光敏电阻阻值是无法通过计算获得的。
14、当原子内的电子从-13.6eV的能量层级跃迁到-1.5eV的时候,能量增加了12.1eV,在种场景中,该电子能量的增加可以通过与另外一个电子互相作用(碰撞)来实现,如果另外一个电子有初始动能12.3eV,那么在碰撞之后,这一电子会继续带有0.2eV的能量,而将其余12.1eV的能量传递给原子内的电子来完成能量层级的升高,这个过程在理论上是可行的。而在第二个场景中,与原子内电子互相作用的是一个能量为12.3eV的光子,光子的能量是不可分割的,所以电子如果吸收这个光子就会直接获得12.3eV的能量,能量层级会从-13.6eV变成-1.3eV,但观察能量层级可知没有这样的存在,所以这个光子是无法被吸收的。
15、Question15
(a)当电磁波从一个介质进入到另外一个介质中的时候波速发生改变,传播的方向也会因此发生改变,这个现象称之为折射。
(b)折射率的计算可以使用Snell’s Law,即n1sini=n2sinr,对于这一道问题来讲,空气的折射率为1,利用三角函数可以解出入射角和折射角的正弦值,代入公式进行求解即可。
16、Question16
观察张图灯丝的电流-电压关系,可知随着电压的增大,电流增大的速率逐渐下降,说明电阻逐渐升高。从微观的角度来看,电压电流的增大导致灯丝温度升高,金属原子的振动会变得更加剧烈,自由电子在运动的过程中与这些原子碰撞导致了更多的动能损失,从而使得漂移速度(Drift velocity)下降,根据公式I=nAvq可知,电流会随着v的下降而降低,体现为电阻的升高。
而第二张图中的负温度系数热敏电阻则体现相反的趋势,随着电压的的升高,电流升高的速率逐渐增加,说明电阻逐渐降低。从微观的角度来讲,电流电压的增大导致热敏电阻温度升高,而这会导致更多的电荷载体产生,观察公式I=nAvq可知,随着n的增大电流会增大,体现为电阻的降低。
17、Question17
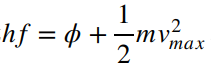
(a)首先计算紫外线中的光子能量

将金属的逃逸功进行单位的转化可得3.68ev = 3.68x1.6x10-19=5.888x10-19J,根据光电效应相关的公式

用光子能量减去逃逸功可以得到逃逸电子的动能,代入动能的计算公式可以得到电子的速度vmax=4.53x106m/s。
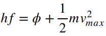
(b)根据公式

可知,增大光子的波长会导致每一个光子能量下降,逃逸电子的动能可以通过公式

计算,观察可知,如果光子能量减小,逃逸功不变的情况下动能会降低。而增加光的强度(intensity)会使得单位时间内有更多的光子到达金属板的表面。这与逃逸电子的动能并无关系。
18、Question18
(a)平面偏振光可以通过偏振片(polariod)进行演示,具体操作应该是让激光通过一个偏振片,旋转偏振片观察通过的激光的强度会如何变化,如果激光是非偏振光(unpolarised light),那么通过偏振片的激光强度不会有明显变化,而如果激光是偏振光,那么激光的强度会每旋转90度发生一次明亮的变化。
(b)(i)d表示的衍射光栅缝隙之间的间隔。
(ii)根据题目的信息,首先计算

对于题目中的公式dsinθ=nλ来讲,由于研究的是级亮点,所以n值为1,代入题目中其他数据可知d值为1.05x10-6m,所以每毫米含有的缝隙个数为953个。
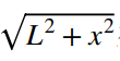
(iii)由于计算一定需要使用公式dsinθ=nλ,而且n,d和λ值是不能改变的,所以题目的要求可以被理解为确定更为准确的sinθ。可以通过改变屏幕和衍射光栅之间的距离L来得到不同的一级亮点和中心亮点的距离x,通过画x和

之间的图像,拟合直线并计算斜率来得到更准确的sinθ。
19、Question19
(a)将电源,待测导线,电流表和变值电阻串联形成回路,将电压表并联在待测电阻的两端即可得到实验电路。
(b)(i)图像的纵坐标是导线两端的电势差,图像的横坐标是导线的长度,在实验的过程中通过改变变值电阻的阻值确保了电流的大小一直是0.2A。图像的斜率表达的含义为电压除以导线长度V/L导线的电阻可以通过欧姆定律R=V/I来获得,而电阻又可以通过公式R=ρL/A来进行计算,联立前两个等式可知ρL/A=V/I所以电阻率

也就是说将斜率乘以A/I即可得到电阻率。
(ii)观察图像可知,当导线的长度为0.75m的时候,导线两端的电压为3.1,则导线两端的功率可以计算为P=VI=3.1x0.2=0.62W。
20、Question20
(a)强度可以计算为

所以并没有安全问题。
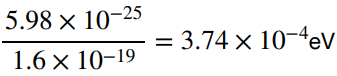
(b)首先计算光子能量E=hf=5.98x10-25Hz,题目要求能量单位使用eV,所以再进行单位转化

(c)首先计算水壶消耗的总能量,为了方便比较,使用题目中的kWh作为单位,则可以计算为

家庭一天使用的总能量是6.85kWh,计算比例可得0.61%,所以该学生的结论是正确的。
21、Question21
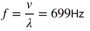
(a)观察驻波的形状可知管内形成的驻波共有2个波腹和一个波节,对于连续的两个波腹或者两个波节来讲,他们之间的间隔应该是半个波长,所以题目描述的驻波在乐器内有半个波长。乐器的长度为23.6cm,所以波长为47.2cm。频率

(b)分析公式v=fλ可知,如果希望频率f不变,在波速v增加的同时必须让波长也增加。由于乐器的长度总是等于半个波长,所以应该增加乐器的长度来获得相同的频率。
(c)频率从432Hz调整到440Hz的时候增长了1.85%,分析公示v=fλ可知,由于波长不会改变,所以波速也增长了1.85%。另外,对公式图片两边去平方可得

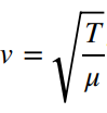
由于线密度μ是定值,所以拉力T会增长3.43%。






