
我们备考物理觉得困难的原因之一就是内容覆盖面广,除此之外,还有专业词汇方面的问题,这些都是我们备考过程中需要跨过的障碍。前面已经和大家分享了一部分今年1月爱德思物理的考情,下面是今年1月爱德思物理U4考情回顾。

考试日期:2021年1月11日
考试时长:1小时45分
1、考查向量:A选项电场强度是向量,B选项冲量也为向量,C选项磁通量密度为向量,只有D选项做功是标量。
2、考查动能和动量的关系:题目中给出质点的质量,动量和动能,自然想到利用Ek=p2/2m进行计算,带入第二个质点的质量m/2和动量2p得出动能。
3、考查质子数中子数的计算:题目中给出Og的原子序数和质量数。可得质子数为118,质子数加中子数为294,即可计算中子数。
4、考查质量单位的换算:

5、考查电容的充电过程:电容充电过程中,电容两端电压逐渐增大。而电路中电容和电阻的总电压为电源电压,电源电压不变,电阻两端的电压会逐渐减小。由此可选出正确答案。
6、考查磁场的偏转作用:带电粒子在磁场中受力作圆周运动,根据左手定则,带正点的正电子向左偏转,而带负电的µ向右偏转。磁场力与向心力联立得到圆周运动半径为r=mv/Bq。因为电子质量远大于µ,所以电子的运动半径更大。即可选出正确答案。
7、考查点电荷电场强度:点电荷电场强度公式为E=Q/4πɛ0r2,可以分别计算出2µC和3µC在X点产生的电场强度。又因为电场强度是矢量,符合适量叠加原理,而两个正电荷在X处产生的场强方向相反,应相减计算合场强。
8、考查磁场力计算:利用公式F=BIL计算,电流大小为

已知磁场方向为N极指向S极,电子秤示数升高说明导线给磁铁一个向下的力,根据牛顿第三定律,磁铁给导线的力是向上的,根据左手定则可判断出电流方向为X到Y。
9、考查电场线和等势面:电极板之间的电场线从正极指向负极,等势面垂直于电场线,且沿着电场线电势下降。
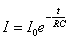
10、考查电容放电关系。电容放电过程中电流与时间的关系为

整理可得

斜率为

11、考查电容
(a)利用公式Q=CV计算一个电容上所带电荷,两个电容并联,电压相等都为6.0V,且总电荷为两个电容电荷之和。
(b)利用公式

计算一个电容上储存的能量,两个电容并联,电压相等都为6.0V,且总能量为两个电容能量之和。
12、考查圆周运动。首先要判断出当硬币运动到点的时候洗衣机内壁给硬币的支持力,此时向心力为支持力与重力的合力。利用每分钟600圈计算转动角速度,再利用圆周运动公式求解该支持力。
13、考查核反应守恒
(a)静止的反中子衰变放出一个反电子,根据动量守恒,其他产物也必然有速度。而反应前动能为零,反应后动能不为零,产物的总质量必然小于反应物,才能满足质能守恒原理。
(b)该题目要说出并解释符合何种守恒定律,解释部分不可或缺。可满足电荷守恒,轻子数守恒和重子数守恒,要分别说出四种物质的电荷,轻子数和重子数证明守恒。
14、考查相对论和标准模型
(a)通过计算muon在内2.2×10-6s的运动距离发现小于1600m。所以在该速度下一定会发生相对论现象,使得muon的寿命增长。
(b)题目中提示在标准模型下进行解释。只要说明meson是有正反两个夸克组成的,而muon为轻子,质量远小于夸克即可。
15、考查回旋加速器
(a)该题着重强调解释电场和磁场的作用。是6分的星号论述题,要注意内容的完整度和论述顺序。首先电场的作用为加速作用,回旋加速器使用一个交流电压在圆盘缝隙处产生电场进行加速。磁场的作用为偏转作用,带电粒子受磁场力作用做圆周运动。圆周运动半径随着速度的增加而增大。而每次划过半个圆周的时间相同,所以可以采用恒定频率的交流电压。
(b)根据公式

圆周运动半径随着速度的增加而增大r=mv/Bq。利用动能计算出阿拉法粒子的速度,带入公式即可求解磁通量密度。
16、考查电磁感应现象
(a)是个非常典型的“如何产生感应电流”题目。答题要点如下:1增加的电流产生变化的磁场2线圈中磁通量变化3根据法拉第定律,磁通量变化产生感应电动势4闭合回路产生感应电流5因为电流为稳定增加,所以产生恒定的感应电流。
(b)(i)题目中给出电阻率,长度和横截面积,想到公式

(ii)求解加热功率,需要利用P=V2/R进行求解。而感应电流大小需要带入法拉第定律

因为是稳定变化的,可以用平均值进行计算,带入题目中的磁通量和时间,N=1(single conducting loop),即可计算出功率。
17、考查动量和冲量
(a)题目已经提示利用冲量进行计算,带入冲量公式

(b)(i)利用动量守恒定律求解。将速度进行分解,分别列出水平和垂直方向的动量守恒,计算2的碰撞后速度。
(ii)利用(i)问答案,计算碰撞前后的总动能,即可判断是否是弹性碰撞。动能不变为弹性碰撞,动能减小为非弹性碰撞。
(c)解释动量守恒的前提假设,这个题目也要注意题目要求解释而非直接写出。动量守恒的前提为合外力为零,因为如果有力的作用必然有冲量,动量就不再守恒。
18、考查alpha粒子散射实验
(a)计算alpha粒子的加速度,首先要计算出它与金原子的最小距离。它靠近金原子的过程中动能转化为电势能,最靠近金原子的位置上动能为零,利用机械能守恒即可求解最近位置。再带入库仑定律求出该位置的电场力和加速度。
(b)在小角度偏转中,alpha粒子与金原子距离最近时速度不为零,所以距离与上一问相比要更大,加速度必然更小。
19、考查密立根油滴实验与电场
(a)(i)证明最终速度与油滴半径间的关系,这个题目其实是U1的知识点,当重力与斯托克斯平衡时速度不再发生改变,联立两个力的表达式即可推导出结果。
(ii)将数值带入上一问公式进行计算。
(iii)油滴处在平行极板间的匀强电场中,在重力和电场力的作用下静止,联立两个力的表达式即可计算出油滴电荷。
(b)根据图像得出学生实验测得的油滴电荷都为电子电量的整数倍,读出图中数值列举进行证明。
(c)题目中提示粘性系数不准确,根据前面的一系列推导得到电场力与斯托克斯力相等,联立可得线性系数与求解出的电荷值成正比,密立根计算出的电荷值偏小,所以他使用的空气粘性系数偏小。






