
A-level物理重视学生对问题的处理方法,知识应用能力是考查的重点,它的考试难度也比其他课程要难一些。但是相信只要大家理解知识点及其含义,并反复练习,熟能生巧,最后都能顺利通过,取得A*的好成绩。下面是新航道成都学校为大家带来的爱德思1月物理U5考情回顾。

考试日期:2021年1月15日
考试时长:1小时45分
1、考查分子的动理论:在之前的真题中反复出现过类似题目。氧气和氮气在温度相等的情况下分子的平均动能相同,又因为氧气分子质量更大,所以平均速度更小。A选项平均速度大是错误的;B选项平均速率相同是错误的;C选项平均动能氧气的更大是错误的。
2、考查暗物质:需要将暗物质和黑洞还有反物质进行区分。A选项吸收所有电磁波是黑洞的性质;C选项暗物质有质量,所以会有引力作用;D选项暗物质非反物质。
3、考查辐射的穿透性和电离能力:要明确alpha粒子的电离能力最强,但穿透性差,gamma射线的电离能力最弱但穿透性最强。
4、考查黑体辐射:根据维恩定律,λmax与温度成反比,所以随着金属棒温度上升,λmax下降;随着金属棒温度下降,λmax上升。
5、考查简谐振动:总能量与振幅的平方成正比,总能量变成以前的四倍,振幅变为以前的两倍。
6、考查标准烛光计算:根据题目中给出的距离,光强和光度,必然需要用公式I=L/4πr2进行计算。
7、查万有引力:绕地球运行的卫星,处在失重状态,所以重量为零。
8、考查黑体辐射Stephan-Boltzman定律:根据题目中给出的光度和温度,半径的条件,考虑应用Stephan-Boltzman定律。带入求解即可。
9、考查简谐振动图像:已知加速度-时间图像,又根据简谐振动的加速度与位移成正比,方向相反,可判断出A为位移-时间图像。
10、考查简谐振动图像:已知加速度时间图像,又根据加速度为速度-时间图像斜率判断出可判断出C为速度-时间图像。
11、考查万有引力:该题为简单的公式计算题,万有引力场场强计算公式为g=GM/r2,带入求解即可。
12、考查比热容
(a)利用电热器对水加热,电能转换成水的热能。水吸收的能量可用比热容进行计算,消耗的电能为功率乘以时间,另两个能量相等可求时间。注意计算水吸收热能时可用摄氏度为温度的单位。
(b)在La Paz,因为沸点降低,导致加热相同时间水已经沸腾。水吸收能量分为了两部分,一部分为加热到87.7摄氏度的能量,用比热容进行计算;另一部分为变为水蒸气吸收的能量,用潜热进行计算,即可求出蒸发的水的质量。
13、考查单位和单摆
(a)能量的单位表示成基本单位,这是AS的知识点。带入任意能量计算公式即可,例如

(b)题目中已经提示了这是一个单摆的计算,找到单摆的周期公式

计算即可。
(c)写出一个利用“seconds pendulum”代替米进行长度丈量的缺点,不需要解释。可以利用上一问的计算过程和结果发散分析。例如计算过程依赖重力加速度,无法统一;比如1 seconds pendulum太小,丈量结果数值太大。
14、考查理想气体
(a)题目给出气体体积V,原子数量N,和温度T,求解压强p。很容易想到带入理想气体状态方程pV=NkT进行求解。注意温度单位需要换算成开尔文K。
(b)当一部分气体放出后,温度和压强都发生了变化,但是容器体积不变,利用理想气体状态方程重新进行计算,可得新的原子数量,求解比值即可。
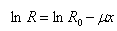
15、考查辐射的穿透性:该题题干较长,有大量阅读给出。根据阅读部分内容可知在穿过铁板的过程中,gamma射线的强度成指数衰减。根据给出的关系式,两边求对数,即可整理出线性方程

图像斜率为-µ。在图中直线上标出两点可计算出斜率。利用斜率可计算µ。并带入公式

求解辐射计量下降一半的距离并进行比较。
16、考查红移现象
(a)(i)解释红移也是一道比较常规的论述题,需要答出两个要点:这是多普勒效应的结果,当波源远离探测者时,探测到的波的波长会增加。
(ii)计算NGC6052与地球的距离,题目中给出的条件是哈勃常数。利用哈勃常数和运动速度即可计算距离,而运动速度可由红移来进行计算。利用上面题干给出的z值可知NGC6052与地球的相对速度为光速的0.0158倍。
(b)两个相撞的星系正在加速靠近,解释为什么加速要先找到加速是因为哪种力的作用,因为这明显是引力的作用,所以可想到万有引力定律,力与距离的平方成反比,所以随着时间的推移,两个星系距离越近力越大,加速度越大。
17、考查万有引力
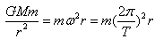
(a)(i)评价课本中对于卫星Salyut 1每天日出次数的说明,其实就是计算Salyut 1的绕地球运动的公转周期,每公转一周会看到一次日出。将地球与卫星的间万有引力和向心力联立,即可计算出卫星周期。注意要将周期带入到向心力公式中,如下所示

(ii)计算重力势能的改变量,需要公式

求解卫星轨道和地球表面的重力势能并计算差值。
(b)解释为什么卫星进入大气层后会燃烧。进入大气层是非常明显的暗示,易想到燃烧是由于与大气摩擦生热导致的。
18、考查简谐振动
(a)常规论述题,简谐振动的定义。注意分值为两分,体现两个得分点:1 加速度与位移成正比;2 加速度方向与位移相反。
(b)(i)计算题,需要利用公式vmax=Aω计算振幅,角频率ω可用频率计算得出。
(ii)计算题,需要利用公式amax=Aω2计算。
(c)(i)定义题,弹性材料就是可以进行弹性形变的材料。
(ii)定义题,该题考察的是必考的共振定义,答案需要体现三个得分点:胁迫频率等于固有频率时,振幅的现象是共振,共振说明能量转移最强。
19、考查衰变反应
(a)(i)反应配平,需要准确写出β粒子的质子数为-1,核子数为0,根据守恒定律计算出其他量。
(ii)利用质能守恒定律,计算出反应前后的质量损失,利用E=△mc2即可计算反应过程中放出的能量。注意题目中质量是以u为单位给出的,能量单位为MeV,均需要进行单位换算。
(iii)该题要求解释为什么beta粒子的动能可能不同,考虑动量守恒定律,要求反应前后总动量不变,而反应后有三个产物,他们的总动量一定,由于发射速度方向和大小不一,导致动能的分配不一,有一定的取值范围。
(b)(i)单纯考察activity的计算的题目,先根据半衰期可计算衰变常数λ,利用公式计算即可。
(ii)单纯考察activity的计算的题目,利用A随时间的变化规律A=A0e-x即可计算出50年后的activity,并与实验室样本进行比较得出结论。
20、考查恒星的演化
(a)(i)太阳为一颗中等偏下质量的恒星,在HR diagram图中为中间偏右的位置。
(ii)当星团进行演化的时候,因为质量大的恒星引力场强,密度大温度高,燃烧速度快,所以首先是大质量恒星由主序星演化成红超。H-R图中左上角的恒星逐渐进入右上角区域。
(b)(i)考察蓝移现象,从图中读出两个波谷位置的波长分别都小于393.4和396.5。可利用公式

计算Andromeda的相对速度。
(ii)空间中的尘埃会吸收一部分电磁波,使得探测到的电磁波偏小。如果用标准烛光法进行计算I=L/4πr2,不考虑尘埃的吸收,计算出的距离就会偏大。






