
今天带大家来看在微积分中同样非常重要的另外两个法则Product Rule。
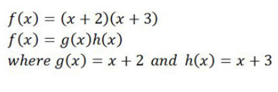
乘法法则是在微积分中用来求一个由两个或几个更小的函数的乘积函数的导数,也就是说,函数f(x)可以看成g(x)h(x)的乘积形式。看看下面这些例子,你会有更好的感觉:

以上这个函数是由两个更小的函数组成的乘积形式。
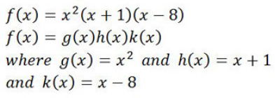
有同学会不禁发问,考试只会考查由两个函数组成的乘积吗?
A-Level的考纲要求我们只用掌握两个函数相乘形式的公式,但是会考查到多个函数相乘的题目,所以下面我们做一个额外补充,来看下面这个函数就是由三个更小的函数的乘积形式,公式会附在之后。

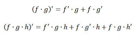
以下就是两个函数乘积形式及三个函数乘积形式分别的公式:

仔细比较这两个公式,你们看到了每个函数是如何保持整个函数的,但是答案的每一项都是其中一个函数的导数吗?对于两个函数的乘积,我们取第 一个函数的导数乘以第二个函数然后将它与第二个函数的导数乘以第 一个函数相加。对于三个函数的乘积,我们取第 一个函数的导数乘以其余的,然后我们将第二个函数的导数乘以其余的,然后我们将第三个函数的导数乘以其余的,以此类推。
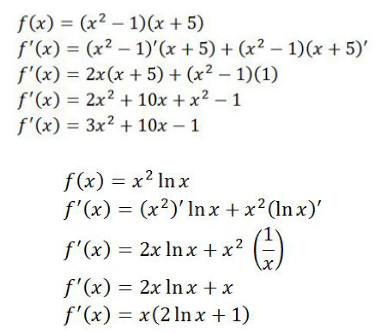
你们知道如何对每个连续较小的函数求导同时保持较大的函数作为一个整体吗?这里有一些例子来说明问题。

最后归纳总结,Product rule就是对乘法形式函数进行微分的方法。微积分是贯穿P1-P4的重点内容,大家一定要重点理解。






