
特殊的二次式
什么时候指数问题不算是指数问题呢?当它是一个伪装的二次问题时,来看下面一道例题~

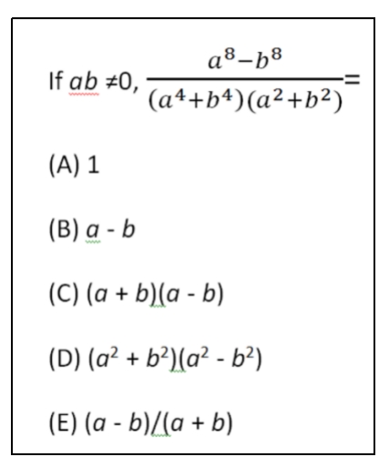
【难点】分子虽然指数相同但底数不同,在没有给出a和b的具体数值时,不能像上一题那样分解通项。那要怎么计算呢?
【思路】a8-b8可以通过使用指数的运算法则写成(a^4)2-(b^4)2, 接下来就可以使用完全平方公式啦,分式变为(a^4+b^4)(a^4-b^4)/ (a^4+b^4)(a^2+b^2), 约掉通项(a^4+b^4),(a^4-b^4)/ (a^2+b^2),继续对(a^4-b^4)使用完全平方公式:(a^2+b^2)(a^2-b^2)/ (a^2+b^2), 接下来相信大家都知道该怎么做了,答案选C。
通过以上题型可以看出,GRE的数学并不旨在考复杂的计算问题,更多的是对基础知识和化繁为简的解题思路的考察。
当所遇到的指数题目形式不常规或者较为复杂时,可以先思考一下是否属于以上的两种类型,然后再考虑是否能将其通过分解、完全平方公式或者其它的方式简化。
大家在平时的备考复习过程中,一定要注重基础知识的复习,就像在本文这道例题中,如果不记得完全平方公式,基本上就无法解题了。
指数运算法则:
乘法:底数不变,指数相加。(a^m)x(a^n)=a^(m+n)
除法:底数不变,指数相减。(a^m)/(a^n)=a^(m-n)
乘方:底数不变,指数相乘。(a^m)^n=a^(mn)
积的乘方:每个因式分别乘方。(ab)^n=(a^n)(b^n)