
根据雅思官方消息,2024年雅思考试报名时间、准考证打印时间、成绩寄送时间已公布!需要注意的是,2024年雅思考试场次有41场,比去年同期多不少,因此2024年雅思考位应该是非常充足的。
2023年雅思考试具体内容包括雅思机考、雅思笔试部分,2024年雅思考试报名截止日期、准考证打印日期和成绩单寄送日期如下:

*考生可于成绩单寄送日的中午12:00之后上网查询成绩。

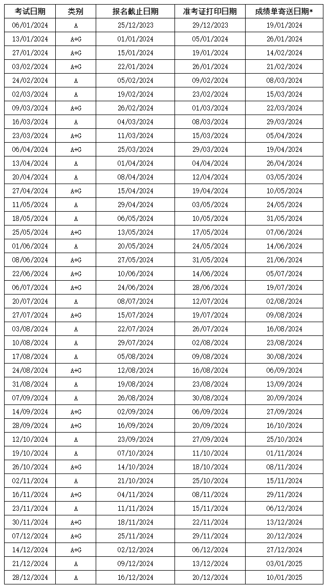
根据雅思官方消息,2024年雅思考试报名时间、准考证打印时间、成绩寄送时间已公布!需要注意的是,2024年雅思考试场次有41场,比去年同期多不少,因此2024年雅思考位应该是非常充足的。
2023年雅思考试具体内容包括雅思机考、雅思笔试部分,2024年雅思考试报名截止日期、准考证打印日期和成绩单寄送日期如下:

*考生可于成绩单寄送日的中午12:00之后上网查询成绩。