
练习:
|x – 3| ≤ 5
1. Which of the following inequalities is equivalent to the absolute value inequality above?
(A) –2 ≤ x ≤ 8
(B) –8 ≤ x ≤ 2
(C) x ≤ –2 or x ≥ 8
(D) x ≤ –8 or x ≥ 2

2. Which of the following equations could represent the linear equation above?
(A) y = –2x – 1
(B) y = –2x + 1
(C) y = 2x – 1
(D) y = 2x + 1
3. If f(x) is a linear function that passes through the points (4, 3) and (-4, -9), what is the y-intercept of f(x)?
(A) (0, 2)
(B) (2, 0)
(C) (0, -3)
(D) (-3, 0)
4. Joel is a years older than Luca. In b years, Joel will be twice as old as Luca. What is Joel’s present age, in terms of a and b?
(A) –2(a – b)
(B) –2a – b
(C) 2a – b
(D) a – b
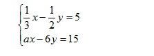
5. In the system of linear equations shown, a is a constant. If the system has no solution, what is the value of a?

A. 2
B. 3
C. 4
D. 5

6. What is the slope of the function in the graph above?
(A) 2
(B)3/2
(C)2/3
(D)1/2
7. If k is a rational number such that k > 1, which of the following could be the graph of the equation y = key + ox + x + 5?


8. The figure above shows the solution set for the system
. Which of the following is not a solution to the system?
A) (0, 3)
B) (1, 2)
C) (2, 4)
D) (3, 3)
9. Sophie and Jazmin have the same amount of money to invest in the stock market. If Sophie lends $15,000 to Jazmin, Jazmin has twice as much money as Sophie. How much money did Jazmin have originally?
(A) $10,000
(B) $30,000
(C) $45,000
(D) $60,000
8x + y = 36 = 2y + 4x
10. In the above equation, what is the value of x + y?
(A) 3
(B) 10
(C) 12
(D) 15

解析:
1. 题干:|x – 3| ≤ 5等价于什么?
解析:可以理解为x到3的距离等于小于5.
2. 题干:如何表示下图的直线?

解析:找出斜率和截距即可.
3. 题干:直线经过(4, 3) 和 (-4, -9),那么y轴截距是多少?
解析:求出直线,然后得到截距.
4. 题干:J比L大a岁,b年后,J的年龄会是L的两倍.现在J的年龄是多少?
解析:设J现在为x岁然后根据给出的两个关系列式,即可得到x的表达式.
5. 题干:如果



下面哪个不是解?
解析:注意不等式的方向即可.
9. 题干:两个人一开始的钱一样多,后来个人给了第二个人15000,然后第二个人的前变成了个的两倍.问一开始第二个人有多少钱?
解析:借助方程求解.设一开始为x.x+15000是x-15000的两倍.
10. 题干:8x + y = 36 = 2y + 4x,x+y=?
解析:两个方程,两个未知数.因此可以求出所有的未知数.具体即,写成方程组形式,第二个方程乘以4,和个相减即可消掉y,求出x.反代回式子,即可求出y.
SAT数学资料下载:可汗学院新SAT数学真题PDF下载(共41篇






