
今天给大家复习一下A-Level基础数学当中三角函数知识点。
在Pure mathematics中,我们详细学习了sin(正弦),cos(余弦),tan(正切)以及他们对应的图像。但是,在三角函数的知(难)识(题)中,这三个当然是远远不能不能满足的,所以A-Level基础数学A2我们根据sin,cos和tan的变换了不同的形式。我们先来一起回顾下AS三角函数基础知识:

A2一开始,就介绍了sin,cos和tan的倒数和他们的图像:cosecant(余割),secant(正割),cotangent(余切)。要明确的是,无论是倒数还是本身,三角函数的周期是不变的。
因为cosec,sec,cot分别是sin,cos,tan的倒数,根据分母不为零的特点,可以确定cosec,sec和cot的渐近线以及与x轴的交点,如图:

了解了基本性质,那么三角函数如何运用呢?我们可以分为两类来看:一类是证明题;另一类是计算求角度。下面,我们用一道例题加以说明。

a:遇到这种证明题,因为是恒等式,所以一定要从等式一边向另一边证明;首先思考从左往右or从右往左。一般来说,从等式复杂的一边到简单的一边的证明比较容易。在该题中,我们选择从左往右证明,然后观察等式右边只有,所以把左边的倒数式先化成基本的,最后化简。

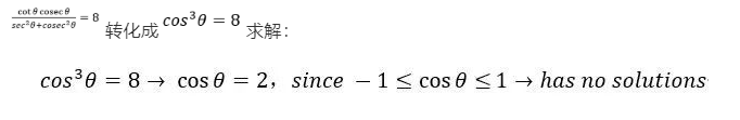
b:如果没有a问,乍一看没什么头绪,但是a问我们已证,所以可以把b问

以上就是A-Level基础数学A2的三角函数之倒数的知识点和例题讲解,你掌握了吗?