
号外!
2020雅思考试日期来啦!
雅思官网今日发布了2020年雅思考试、用于英国签证及移民的雅思考试,报名截止日期、准考证打印日期和成绩单寄送日期。
2020年准备踏上屠鸭之路的烤鸭宝宝们,睁大眼睛啦!
2020年全年雅思考试
报名截止日期、准考证打印日期和成绩单寄送日期

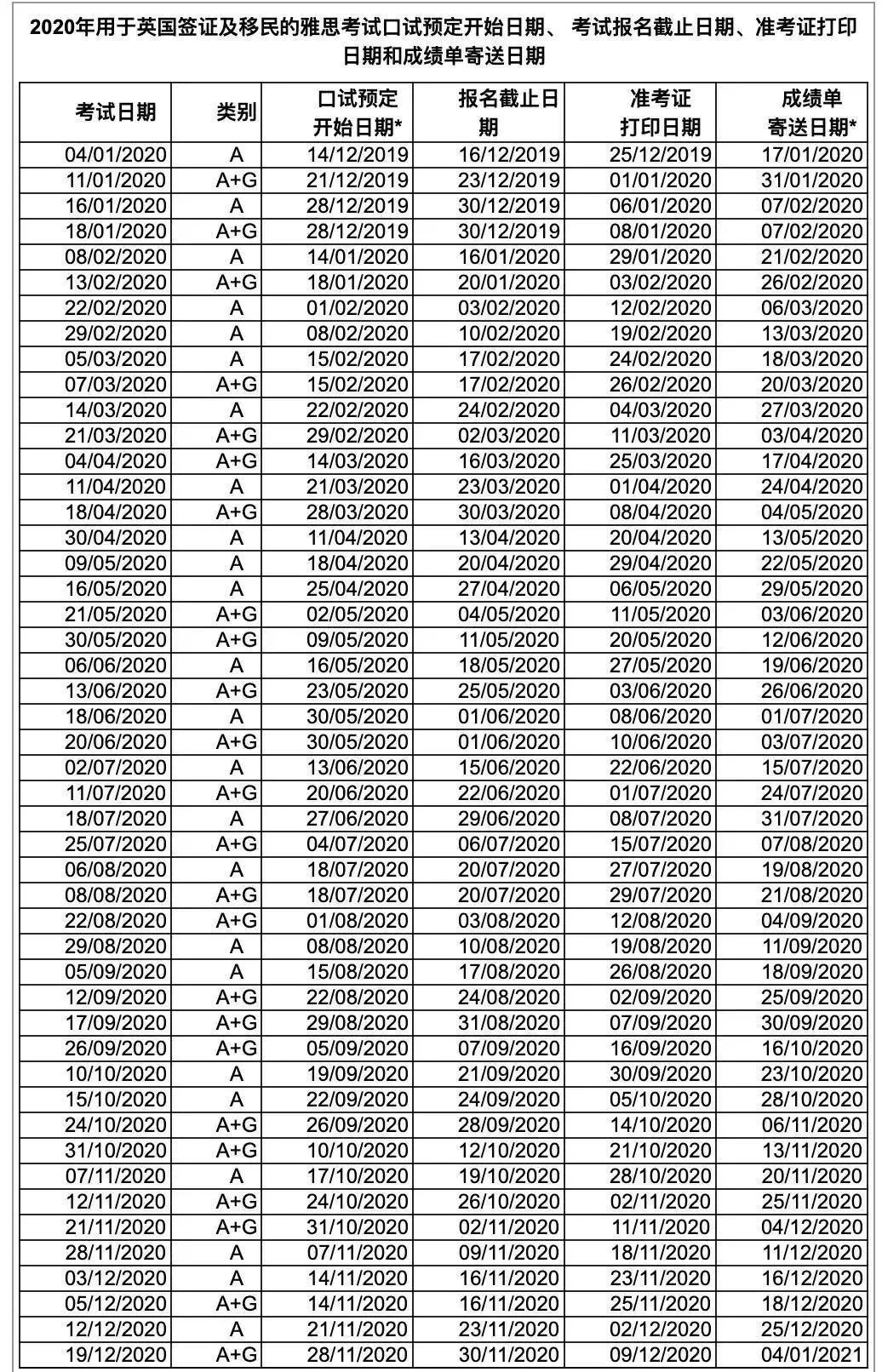
2020年用于英国签证及移民的雅思考试
报名截止日期、准考证打印日期和成绩单寄送日期

*考生可于成绩单寄送日的中午12:00之后上网查询成绩。
*考生可于口试预定开始日的凌晨00:00之后上网预定口试区间。
当然,可不要忘记雅思考试明年就开始涨价啦!
雅思考试费:2170RMB
用于英国签证及移民的雅思考试费:2220RMB
祝各位宝宝屠鸭顺利!!!需要雅思代报名的童鞋欢迎新航道官网咨询






