新航道 - 用心用情用力做教育!
咨询热线:400-011-8885
投诉电话:400-097-9266
AI客服 精准解答您的学习规划问题

重磅!雅思官宣2020年全年雅思考试时间安排!

2020-07-30    浏览:73     来源:新航道官网
免费咨询热线:400-011-8885

微信图片_20200730111433.jpg

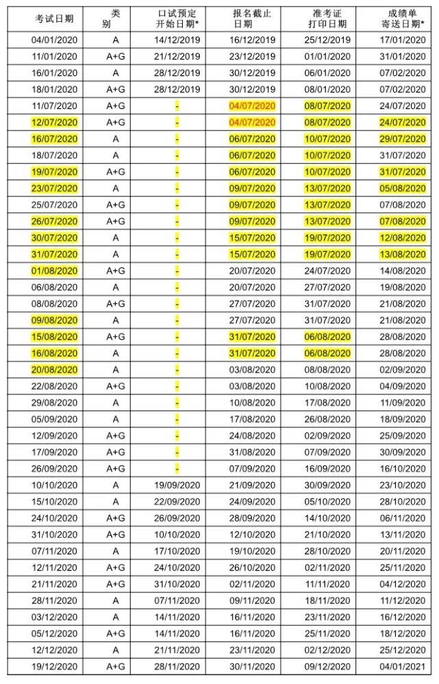
2020年用于英国签证及移民的雅思考试口试预定开始日期、 考试报名截止日期、准考证打印日期和成绩单寄送日期详见下表:

微信图片_20200730111433.jpg

最近考位信息千变万化,希望这次官方安排放出,会是一个趋于稳定的信号~ 小烤鸭们考试加油!

版权及免责声明
1.本网站所有原创内容(文字、图片、视频等)版权归新航道国际教育集团所有。未经书面授权,禁止任何形式的复制、转载或商用,违者将依法追究法律责任。本网站部分内容来源于第三方,转载仅为信息分享,不代表新航道观点,转载时请注明原始出处,并自行承担版权责任。
2.本网站内容仅供参考,不构成任何决策依据,用户应独立判断并承担使用风险,新航道不对内容的准确性、完整性负责,亦不承担因使用本网站内容而引发的任何直接或间接损失。
3.如涉及版权问题或内容争议,请及时与我们联系,电话:400-011-8885。
资料下载
手机号:
验证码: